计算机毕业设计springboot猫咪咖啡馆预约系统的设计与实现 基于Spring Boot的萌宠主题咖啡厅在线预订平台的设计与实现 Spring Boot框架下的宠物互动式咖啡吧预约服务平台构建
计算机毕业设计springboot猫咪咖啡馆预约系统的设计与实现(配套有源码 程序 mysql数据库 论文)
本套源码可以在文本联xi,先看具体系统功能演示视频领取,可分享源码参考。
随着都市生活节奏加快,人们面临的压力与日俱增,宠物疗愈逐渐成为缓解焦虑的重要方式。猫咪咖啡馆作为融合咖啡文化与宠物互动的新兴业态,在年轻消费群体中迅速走红。然而传统的人工预约模式效率低下,信息传递滞后,难以满足顾客对便捷服务和个性化体验的需求。与此同时,猫咖经营者也面临着猫咪信息管理混乱、预约排班冲突、顾客数据分析缺失等运营痛点。将互联网技术与宠物服务业态深度融合,构建一套智能化、数字化的预约管理系统,已成为推动该行业规范化发展的必然趋势。
本系统采用B/S架构,后端基于Java语言与Spring Boot框架开发,前端集成Vue.js技术栈,选用MySQL数据库进行数据持久化管理。系统面向两类角色提供服务支持,涵盖以下核心功能模块:
用户管理模块 — 实现用户注册、登录、个人信息维护、密码修改及密保设置等基础功能
咖啡商品模块 — 包含咖啡分类管理、咖啡商品信息管理(名称、图片、规格、甜度、制作工艺、温度、介绍、价格等)、商品评论互动、商品收藏功能
猫咪信息模块 — 涵盖猫咪档案管理(昵称、品种、性别、年龄、图片、视频、介绍)、猫咪热度统计、猫咪收藏功能
猫咪预约模块 — 支持在线预约猫咪互动时段、预约内容填写、预约审核流程、支付状态管理
订单管理模块 — 实现购物车功能、订单生成与编号管理、订单状态跟踪、收货信息管理、订单审核流程
系统管理模块 — 包含系统简介配置、公告信息发布与分类管理、客服中心问答互动、轮播图及前台页面配置
数据统计模块 — 提供点击次数统计、收藏数量统计、评论数据管理等数据分析功能
该系统完整覆盖了猫咖运营中的核心业务流程,从商品展示到预约服务,从订单处理到售后客服,形成了一套闭环的数字化解决方案。通过在线化改造,顾客可随时随地浏览猫咪档案、提前锁定心仪萌宠的互动时段,享受个性化的到店体验;经营者则能通过后台集中管理猫咪排班、实时掌握预约动态、分析消费数据优化服务策略。系统功能设计兼顾了用户体验的便捷性与业务管理的严谨性,既满足了都市人群对情感陪伴和品质生活的追求,也为宠物主题服务业的数字化转型提供了可复用的技术范式,体现了现代科技赋能传统服务业升级的创新价值。
注:以上是纯课题毕业设计功能介绍,并非实际开发完成,最终开发完成的毕业设计程序以下面的的环境软件、功能图和界面为准。
系统所需要的环境软件:idea、eclipse+mysql5.7、8.0+Navicat+JDK1.8+tomcat7.0
系统设计
4.1系统体系结构
猫咪咖啡馆预约系统的结构图4-1所示:

图4-1系统结构
登录系统结构图,如图4-2所示:

图4-2登录结构图
4.2系统总功能结构设计
系统按照用户的实际需求开发而来,贴近生活。从管理员通过正确的账号的密码进入系统,可以使用相关的系统应用。管理员总体负责整体系统的运行维护,统筹协调。
系统整体模块设计:系统分为管理员和用户两大角色,系统管理员有最大的权限,整体功能展示如图4-3所示。

图4-3 系统整体功能图
4.3开发流程设计
系统开发流程的分析是一个至关重要的过程,它是指通过系统的设计开发目的初衷、面向使用用户的范围、系统运行和操作的安全性、各种问题的处理以及后台数据的分析能力等各个角度,来对猫咪咖啡馆预约系统进行设计、开发、搭建和调节,以保证该系统能够顺利的完成,达到预期的工作状态。上述每个环节、每个步骤一开始就要下足功夫,从各个方面、各个角度进行调查研究,进行大量的测试和评估,来保证猫咪咖啡馆预约系统的正常和该系统的后台数据库的完整性以及安全性,从而把控系统所包含信息的安全性、确保信息进入、出口顺利过渡。然后,对系统和数据进行操作和分析,根据每一步的执行步骤,完成信息的流程图制作过程。
系统的开发对管理模型和系统应用中的数据库进行了分类,创建代码,以及系统测试,如图4-4所显示。

图4-4开发系统流程图
4.4数据库设计原则
学习程序设计,如果要了解数据库管理系统或者是根据需求而制定的系统接口,就必须创建一种数据库管理系统的模式,用来保存数据资料,这样当在应用编程过程中时候,就不需要再向操作系统页面上加载信息,进而增加了整个系统的工作效率。信息库管理系统中保存着许多数据,应该说是一个管理信息系统建设的中心和基础,而信息库管理系统也为管理信息系统建设提出了新增、删除、更改和搜索的操作功能,使管理信息系统建设能够迅速地查询所需要的数据,而不会直接从程序代码中查找。信息库管理系统通过将信息表的各个组成部分按照特定的方法准确地合并,排序和组成信息库管理系统。
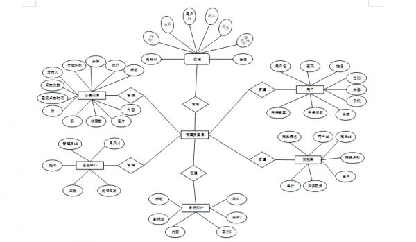
通过对猫咪咖啡馆预约系统的主要功能信息进行规划并分为若干功能实体信息,实体信息将使用E-R图加以表示,将“购物车、用户、系统简介、客服中心、收藏、公告信息”等作为实体,它们的局部E-R图,如图4-5所示:

图4-5局部E-R图
系统实现
5.1系统功能实现
当人们打开系统的网址后,首先看到的就是首页界面。在这里,人们能够看到系统的导航条,通过导航条导航进入各功能展示页面进行操作。系统首页界面如图5-1所示:

图5-1 系统首页界面
在注册流程中,用户在Vue前端填写必要信息(如用户名、密码等)并提交。前端将这些信息通过HTTP请求发送到Java后端。后端处理这些信息,检查用户名是否唯一,并将新用户数据存入MySQL数据库。完成后,后端向前端发送注册成功的确认,前端随后通知用户完成注册。这个过程实现了新用户的数据收集、验证和存储;如图5-2所示:

图5-2系统注册界面
咖啡商品:在咖啡商品页面的输入栏中输入咖啡名称、咖啡甜度和价格进行搜索,可以详情到咖啡商品详细信息,并根据需要进行点我收藏操作;咖啡商品页面如图5-3所示:

图5-3咖啡商品详细页面
猫咪信息:在猫咪信息页面的输入栏中输入猫咪昵称和猫咪品种进行搜索,可以详情到猫咪详细信息;猫咪信息页面如图5-4所示:

图5-4猫咪信息详细页面
个人中心:在个人中心页面可以对个人中心、修改密码、猫咪预约、我的订单、我的收藏进行详细操作;如图5-5所示:

图5-5个人中心界面
5.2管理员功能实现
在登录流程中,用户首先在Vue前端界面输入用户名和密码。这些信息通过HTTP请求发送到Java后端。后端接收请求,通过与MySQL数据库交互验证用户凭证。如果认证成功,后端返回给前端,允许用户访问系统。这个过程涵盖了从用户输入到系统验证和响应的全过程。登录页面如图5-6所示。

图5-6管理员登录界面
管理员进入主页面,主要功能包括对用户、咖啡分类、咖啡商品、猫咪信息、猫咪预约、系统管理、订单管理、我的信息等进行操作。管理员主页面如图5-7示:

图5-7管理员主界面
用户功能在视图层(view层)进行交互,比如点击“搜索,增加或删除”按钮或填写用户信息表单。这些用户信息动作被视图层捕获并作为请求发送给相应的控制器层(controller层)。控制器接收到这些请求后,调用服务层(service层)以执行相关的业务逻辑,例如验证输入数据的有效性和与数据库的交互。服务层处理完这些逻辑后,进一步与数据访问对象层(DAO层)交互,后者负责具体的数据操作如详情,更新或删除用户信息,并将操作结果返回给控制器。最终,控制器根据这些结果更新视图层,以便用户功能可以看到最新的信息或相应的操作反馈。如图5-8所示:

图5-8用户界面
咖啡分类功能在视图层(view层)进行交互,比如点击“搜索,增加或删除”按钮或填写咖啡分类表单。这些咖啡分类表单动作被视图层捕获并作为请求发送给相应的控制器层(controller层)。控制器接收到这些请求后,调用服务层(service层)以执行相关的业务逻辑,例如验证输入数据的有效性和与数据库的交互。服务层处理完这些逻辑后,进一步与数据访问对象层(DAO层)交互,后者负责具体的数据操作如详情,更新或删除咖啡分类信息,并将操作结果返回给控制器。最终,控制器根据这些结果更新视图层,以便咖啡分类功能可以看到最新的信息或相应的操作反馈。如图5-9所示:

图5-9咖啡分类界面
咖啡商品功能在视图层(view层)进行交互,比如点击“搜索,增加或删除”按钮或填写咖啡商品表单。这些咖啡商品表单动作被视图层捕获并作为请求发送给相应的控制器层(controller层)。控制器接收到这些请求后,调用服务层(service层)以执行相关的业务逻辑,例如验证输入数据的有效性和与数据库的交互。服务层处理完这些逻辑后,进一步与数据访问对象层(DAO层)交互,后者负责具体的数据操作如详情、更新、查看评论或删除咖啡商品信息,并将操作结果返回给控制器。最终,控制器根据这些结果更新视图层,以便咖啡商品功能可以看到最新的信息或相应的操作反馈。如图5-10所示:

图5-10咖啡商品界面
猫咪信息功能在视图层(view层)进行交互,比如点击“搜索,增加或删除”按钮或填写猫咪信息表单。这些猫咪信息表单动作被视图层捕获并作为请求发送给相应的控制器层(controller层)。控制器接收到这些请求后,调用服务层(service层)以执行相关的业务逻辑,例如验证输入数据的有效性和与数据库的交互。服务层处理完这些逻辑后,进一步与数据访问对象层(DAO层)交互,后者负责具体的数据操作如详情、更新或删除猫咪信息,并将操作结果返回给控制器。最终,控制器根据这些结果更新视图层,以便猫咪信息功能可以看到最新的信息或相应的操作反馈。如图5-11所示:

图5-11猫咪信息界面
源码无偿分享,文未领取
相关知识
计算机毕业设计springboot猫咪咖啡馆预约系统的设计与实现 基于Spring Boot的萌宠主题咖啡厅在线预订平台的设计与实现 Spring Boot框架下的宠物互动式咖啡吧预约服务平台构建
宠物咖啡馆平台设计与实现——基于Spring Boot 053
宠物咖啡馆平台:基于Spring Boot的设计与实现
基于Spring Boot的宠物咖啡馆平台的设计与实现
Springboot计算机毕业设计宠物咖啡馆系统的设计与实现ok8a3
计算机Java项目|基于Spring Boot的宠物咖啡馆平台的设计与实现
构建便捷高效的宠物医疗预约服务平台:基于Spring Boot的实现
基于springboot宠物咖啡馆平台的设计与实现
基于Spring Boot的宠物医院管理系统设计与实现
Spring Boot宠物咖啡馆平台
原文链接: 计算机毕业设计springboot猫咪咖啡馆预约系统的设计与实现 基于Spring Boot的萌宠主题咖啡厅在线预订平台的设计与实现 Spring Boot框架下的宠物互动式咖啡吧预约服务平台构建 https://www.mcbbbk.com/newsview1349755.html
| 上一篇: 院长变身萌宠,揭秘职场宠物的神奇... | 下一篇: 探秘上海宠物展:鱼儿盛宴,萌宠狂... |
推荐分享

- 1养玉米蛇的危害 29001
- 2狗交配为什么会锁住?从狗狗生... 7409
- 3我的狗老公李淑敏33——如何... 6436
- 4豆柴犬为什么不建议养?可爱的... 4770
- 5南京宠物粮食薄荷饼宠物食品包... 4714
- 6中国境内禁养的十大鸟种,你知... 4690
- 7自制狗狗辅食:棉花面纱犬的美... 4434
- 8家养水獭多少钱一只正常 4362
- 9湖南隆飞尔动物药业有限公司宠... 4316
- 10广州哪里卖宠物猫狗的选择性多... 4270




