宠物短期寄养在线服务平台的财务分析,mba战略管理论文
第九章 财务分析
第一节 成本分析
一、公司管理费用预算:单位:人民币
公司注册费用:1000元;商标注册费用:1600元;
软件开发费用(网站建设、APP终端):50万;
域名使用费用和空间费用:1万
办公室租金:
第一年50元/平方米X100平米X 12个月=60000元
第二年55元/平方米X 200平方米X 12个月=132000元
第三年60元/平方米X 300平方米X12个月=216000元
办公室装修费用:2万/年;办公用品:1万/年
电脑:
第一年10台X4000元=4万元
第二年3. 6万元(增加9人)
第三年2. 8万元(增加7人)
水电费:
第一年500元/月X 12个月=6000元/年,
第二年1000/月X12个月=12000元/年,
第三年1500/月X12个月=18000元/年
申请400电话费用:6000元/年
电话机:
第一年10部X50元/部=500元,
第二年10部X 50元/部=500元
第三年10部X 50元/部=500元
网络费:第一年1000元/年,第二年3000元/年,第三年5000元/年
员工工资:第一年89万,第二年149. 7万,第三年266万
二、营销费用支出:单位:人民币
根据市场营销部分的测算,我们预计营销费用为:第一年70万,第二年70万,第三年50万。
三、营业费用支出:单位:人民币
平台按每只宠物5000元人民币的保险计算预留费用,第一年预计10只宠物可能需要平台理赔,第二年20只宠物,第三年50只宠物,则保险预留金:第一年5万,第二年10万,第三年25万。
四、财务费用:(见表9-3:宠物短期寄养平台基本交易额测算)
五、成本数据汇总:(见表9-1:宠物短期寄养平台成本分析)【表9-1】

第二节 交易额预测
一、会员发展及交易额预测【9-2-3】


二、平台收入预测
平台将拥有部分流动资金暂存在支付宝账户,因此我们以余额宝为理财工具测算收益。目前余额宝7天年化收益率为5. 9280%,则可以计算出未来三年的投资收益(单位:人民币):
第一年 8800000X5. 9280%/365X 7=10004. 52 元
第二年 44000000 X 5. 9280%/365 X 7=50022. 58 元
第三年 80000000X5. 9280%/365X 7=90950. 14 元
在服务费收取方面,平台第一年和第二年推广期间,实施全免费服务政策,第三年收取服务佣金5%-10%,取中间值600万。
根据以上测算平台营业收入预测如表9-4所示:【9-4】

第三节 损益表和盈亏平衡点
根据财务分析数据,预估平台未来三年的损益表(见表9-5):【9-5】

根据损益表所示,宠物短期寄养平台将在第三年收回初始投资成本,第四年以后每年可以创造500万以上的净利润,毛利率约为95. 9%,净利润率高达51. 96%,平台从建立开始即可拥有充足稳定现金流,经营风险小,前景乐观。
由于“宠物短期寄养在线服务平台”第三年才开始收取费用,因此我们可以根据第三年的成本进行盈亏平衡点计算,平台的收入将扣除利息收入,广告收入按照每名会员1元人民币计算,会员费按照每名会员3元人民币计算。
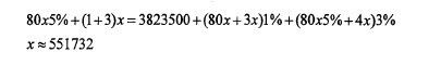
1、设第三年平台拥有会员总数量为X,佣金抽取比例为5%,每名会员年消费金额为80元,税金3%则盈亏平衡点计算如下所示:【公式1】

由计算结果可知,上述假设条件成立,达到平台的盈亏平衡点需要会员551732 人;2、假设第三年平台拥有会员总数量为X,佣金抽取比例为10%,每名会员年消费金额为80元,税金为3%,则盈亏平衡点计算如下所示:【公式2】

由计算结果可知,上述假设条件成立,则达到平台的盈亏平衡点需要会员353701 人。
根据我们平台运营预计的发展速度,在第二年即可拥有50万的注册会员,在第三年注册会员人数将达到100万人;当佣金抽取比例在5%-10%区间时,达到盈亏平衡点的会员人数为353701人-551732人,远低于我们第三年预计发展的会员总数,因此第三年开始收费以后,我们即可有较好的利润。
第四节 融资计划
公司初创融资以私募股权方式进行,融资总额约为人民币700万-800万元。
第二阶段将引入新的战略投资者,进军宠物健康管理市场,以私募股权方式融资人民市1000万兀左右(见表9-6)。【9-6】

相关知识
宠物短期寄养在线服务平台风险与对策
宠物养护店的财务分析报告
2024第二十二届中国MBA创业大赛
springboot+vue宠物寄养平台宠物用品商城系统qq24i
【同济MBA V
MBA校友企业行丨宠物之道,宠知道
(行业分析)战略管理报告基于五力模型对宠物用品行业分析
“宠爱有家”宠物服务APP
ssm+vue宠物寄养系统【开题+程序+论文】
宠物店财务记账软件
网址: 宠物短期寄养在线服务平台的财务分析,mba战略管理论文 https://www.mcbbbk.com/newsview172836.html
| 上一篇: 狗厂寄养狗狗费用一览(以宠物为主 |
下一篇: 【图片】乐逍遥宠物服务接受宠物寄 |
推荐分享
- 1养玉米蛇的危害 28694
- 2狗交配为什么会锁住?从狗狗生 7180
- 3我的狗老公李淑敏33——如何 6236
- 4豆柴犬为什么不建议养?可爱的 4637
- 5南京宠物粮食薄荷饼宠物食品包 4563
- 6中国境内禁养的十大鸟种,你知 4429
- 7湖南隆飞尔动物药业有限公司宠 4259
- 8自制狗狗辅食:棉花面纱犬的美 4257
- 9家养水獭多少钱一只正常 4212
- 10广州哪里卖宠物猫狗的选择性多 4122
